CFD Equazioni di Navier Stokes
Analisi CFD
-------------------------
Analisi FEM
-------------------------
Vantaggi FEM/CFD
-------------------------
Cinematica
Fluidodinamica Computazionale
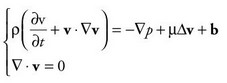
Le equazioni sulle quali si fonda la fluidodinamica computazione C.F.D. sono le equazioni di Navier-Stokes:

Che in formulazione estesa possono essere scritte come:

Sono 4 equazioni scalari con 4 incognite la cui principale difficoltà di risoluzione risiede nel termine non lineare
![]()
considerato una delle fonti più forti sorgenti di non linearità presenti nella fisica.
Non esistono soluzioni analitiche (ovvero formule) a queste equazioni, tranne che in rari casi. Inoltre la risoluzione numerica delle equazioni di Navier Stokes per flussi turbolenti è concettualmente possibile ma attualmente impraticabile.
Per questa difficoltà, vengono utilizzate le equazioni Navier-Stokes in forma di Reynolds (formulazione RANS - Reynolds-averaged Navier-Stokes) in cui si hanno le medesime grandezze ma si semplifica il sistema ricercando la soluzione media nel tempo.
Tale semplificazione comporta un'indeterminzione del problema: ci sono 4 equazioni e 10 incognite.
- il modello di turbolenza k-epsilon
Nei fenomeni di turbolenza, le strutture vorticose più grandi trasferiscono energia verso strutture vorticose sempre più piccole con una schema a cascata. Sono le turbolenze minori a dissipare energia. Il modello LES risolve le equazioni di Navier-Stokes (direct numerical simulation DNS) per le strutture vorticose maggiori e modellizza quelle minori.
Per questo motivo, LES tende ad essere più preciso di RANS.